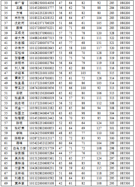
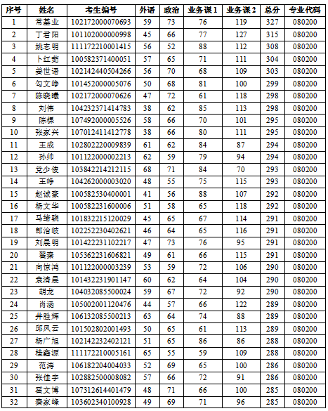
2022年ok138cn太阳集团529调剂复试人员名单公示(第一批) 根据公司调剂信息公告,在调剂系统开放期间内征集的志愿,按照学院制定的复试方案并参考考生初试成绩,公司已择优向以下69名考生发出复试通知,现将复试人员名单公示如下: ok138cn太阳集团529 2022年4月7日
2022年ok138cn太阳集团529调剂复试人员名单公示(第一批)
根据公司调剂信息公告,在调剂系统开放期间内征集的志愿,按照学院制定的复试方案并参考考生初试成绩,公司已择优向以下69名考生发出复试通知,现将复试人员名单公示如下:
ok138cn太阳集团529
2022年4月7日
上一条:2023年ok138cn太阳集团529硕士研究生预调剂公告 下一条:2022年ok138cn太阳集团529硕士研究生调剂信息公告(第一次)